Contoh Surat Keterangan Tanpa Npwp Terbaru

Kumpulan referensi contoh contoh surat dalam berbagai keperluan.

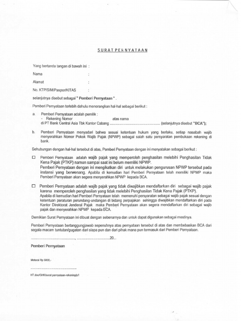
Contoh Surat Keterangan Tanpa Npwp Terbaru. Berikut adalah contoh permohonan surat keterangan PP 23 Tahun 2018 berikut tata cara pengisiannnya yang dapat diajukan oleh pelaku usaha kelas UKM. Tes Sinonim Kata Persamaan Kata.

Surat Pernyataan Tidak Mempunyai Kegiatan Usaha Melakukan
Surat Pernyataan Tidak Mempunyai Kegiatan Usaha Melakukan from studylibid.com

Contoh Surat Keterangan Kehilangan indonesiagoid. Salah satu persyaratan penting yang tidak boleh sampai kamu lewatkan dalam cara membuat NPWP online adalah surat keterangan kerja. Surat keterangan kerja bidan - Surat resmi biasanya banyak digunakan bagi kepentingan instansi organisasi kepentingan dinas kepentingan antar instansi.

Kepala Kantor Pelayanan Pajak.

Kata tembusan di sini adalah pihak-pihak yang mendapatkan salinan surat yang di alamatkan. Contoh Contoh Slip Gaji Karyawan Word Office Cv Kreatif Rencana Pembelajaran Kutipan Pengetahuan. Berisi nama pihak yang mengajukan keterangan bahwa dirinya bukan Pengusaha Kena Pajak. Admin blog Contoh Soal Terbaru 01 January 2019 juga mengumpulkan gambar-gambar lainnya terkait contoh surat keterangan kerja untuk npwp pribadi dibawah ini.