Contoh Surat Jual Beli Tanah Dari Kepala Desa Terbaru

Kumpulan referensi contoh contoh surat dalam berbagai keperluan.

Contoh Surat Jual Beli Tanah Dari Kepala Desa Terbaru. Dalam surat pernyataan jual beli tanah atau Akad Jual Beli Tanah AJB Anda akan menemukan serangkaian pasal-pasal penting. Adapun contoh surat jual beli tanah sawah tersebut dapat dilihat di bawah ini.

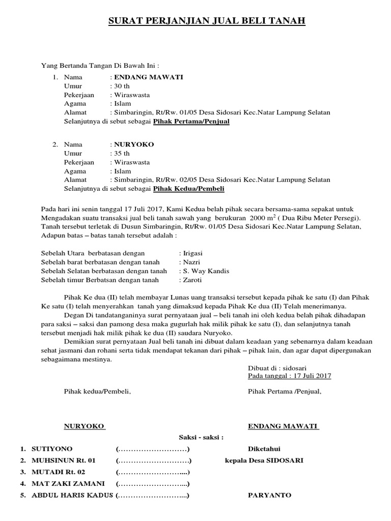
Surat Perjanjian Jual Beli Tanah
Surat Perjanjian Jual Beli Tanah from id.scribd.com

Surat Pernyataan Jual Beli Tanah adalah surat pernyataan tertulis dengan dibuat lalu ditandatangani oleh kedua belah pihak yakni penjual tanah atau pihak pertama dan pembeli tanah atau Pihak Kedua di atas kertas bermaterai kalau dahulu Rp 6000 namun kalau sekarang diusahakan harus yang Rp 10000 dan jangan lupa untuk disaksikan. Silahkan kalian buka situs bhumiatrbpngoid. Sebagaimana yang pernah saya bahas dalam contoh surat keterangan riwayat tanah bahwa dalam pengurusannya selain surat Pernyataan bersangkutan Anda juga akan diberikan surat keterangan dari Kepala Desa perihal mengetahui dan persetujuan bahwa tanah yang Anda klaim adalah benar-benar.

Ditambah lagi tidak banyak sumber contoh surat jual beli tanah yang ada baik di internet maupun yang dapat dibeli.

SURAT KETERANGAN JUAL BELI TANAH SEBELUM DIAKTAKAN. Berikut adalah contoh Surat Perjanjian Jual Beli Tanah beserta Bangunan. Surat Pernyataan Pembebasan Lahan Demikian Surat. Sebagaimana yang pernah saya bahas dalam contoh surat keterangan riwayat tanah bahwa dalam pengurusannya selain surat Pernyataan bersangkutan Anda juga akan diberikan surat keterangan dari Kepala Desa perihal mengetahui dan persetujuan bahwa tanah yang Anda klaim adalah benar-benar.