Contoh Surat Izin Operasional Yayasan Terbaru

Kumpulan referensi contoh contoh surat dalam berbagai keperluan.

Contoh Surat Izin Operasional Yayasan Terbaru. Berbagai Macam Contoh Surat Klik Juga ya bannerku beneran tu saya dapat hasil dari PayTren Sukses Bisnisnya Berkah Hidupnya. Fotocopy akta pendirian lembaga kalau berbadan hukum Fotocopy IMB.

Ijin Baru Pondok
Ijin Baru Pondok from id.scribd.com

Surat rekomendasi izin operasional dari Kantor Urusan Agama setempat asli. Surat Permohonan Perpanjangan Izin OperasionalPendirian Madrasah YAYASAN PENDIDIKAN ISLAM MUFIDUR RAHMAN MADRASAH TSANAWIYAH BAITUL MUTTAQIN. Contoh Surat Keterangan Izin Operasional Sekolah - Sesuai surat edaran nomor 71 se 2016 tentang penerbitan izin prinsip dan izin operasional lembaga pendidikan menyatakan bahwa izin operasional lembaga pendidikan tetap berlaku sepanjang lembaga pendidikan dimaksud masih beroperasi dan tidak mengalami perubahan nama alamat dan status lembaga sehingga lembaga pendidikan tidak perlu mengurus perpanjangan izin operasional.

Surat rekomendasi izin operasional dari Kantor Urusan Agama setempat asli.

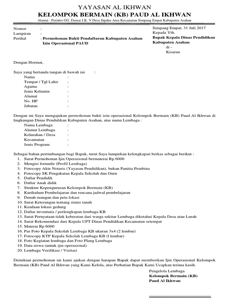
Pasar keong Kecamatan Cibadak Kabupaten Lebak mengajukan permohonan ijin operasional kepada Bapak Kepala Kantor Kementerian Agama Kabupaten Lebak sebagai bahan pertimbangan bersama ini kami lampirkan. 17 Contoh Surat Pribadi Untuk Kakak Teman Sahabat Orang Tua Guru 40 Contoh Kartu Nama Dengan Berbagai Desain Yang Menarik Macam Macam Surat. Format gambar contoh surat izin dari yayasan yang benar 2019. Surat Permohonan Perpanjangan Izin OperasionalPendirian Madrasah YAYASAN PENDIDIKAN ISLAM MUFIDUR RAHMAN MADRASAH TSANAWIYAH BAITUL MUTTAQIN.